Главная
ЕГЭ-11
Нормативно правовая база
Подготовка к ЕГЭ
Математика
Русский язык
Молдавский язык
Украинский язык
Итоговое сочинение
Тематические направления
Нормативно-правовая база
Приказы
Методические рекомендации
Результаты
Результаты ЕГЭ
Анализ ЕГЭ
ГИА-9
Нормативно правовая база
Подготовка к ГИА
Математика
Русский язык
Молдавский язык
Украинский язык
Результаты ГИА
Анализ ГИА
ГВЭ
Нормативно правовая база
9 класс
11 класс
Подготовка к ГВЭ
9 класс
11 класс
Результаты ГВЭ
9 класс
11 класс
Анализ ГВЭ
ДПР
Демонстрационные материалы
Аналитические материалы проведенных работ
Учреждения профессионального образования
Среднее профессиональное образование
Высшее профессиональное образование
Наши контакты
Обратная связь ✉
ЕГЭ Ученика
Номер документа
ГУ «Центр экспертизы качества образования»
ГИА-9: Подготовка
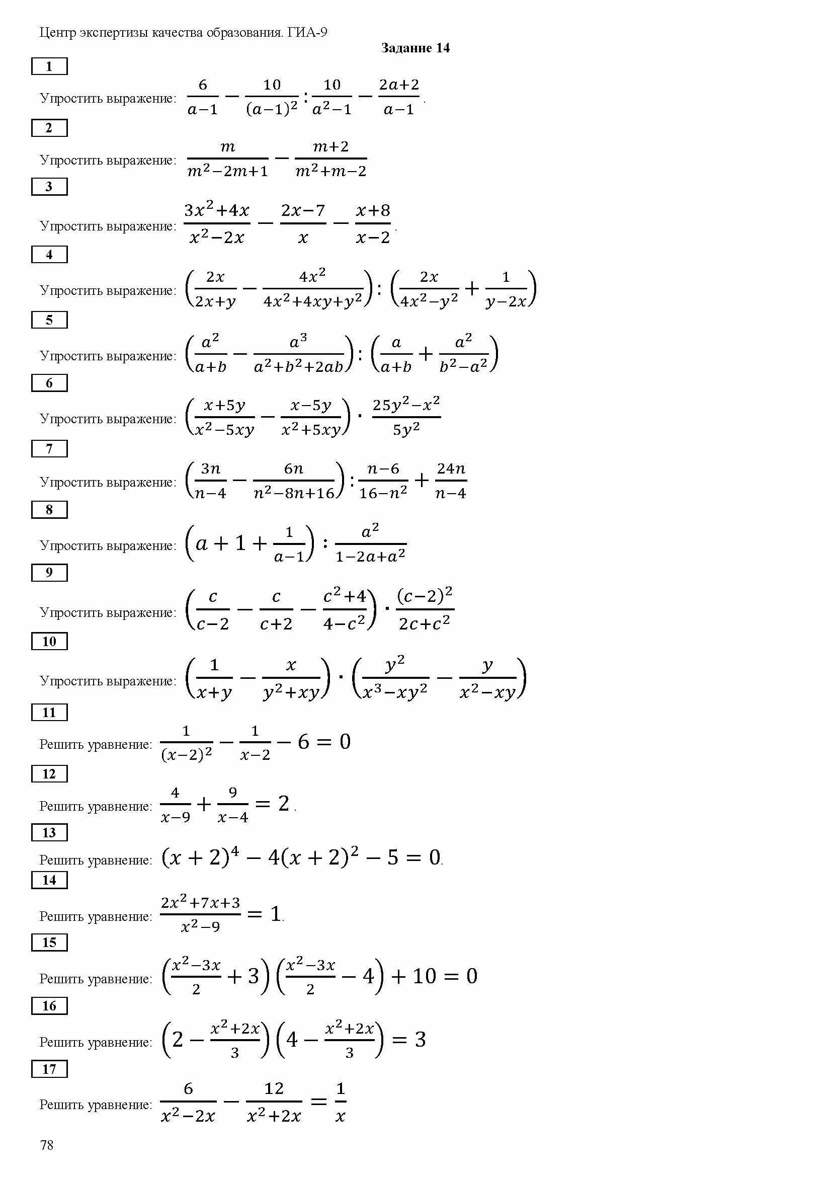
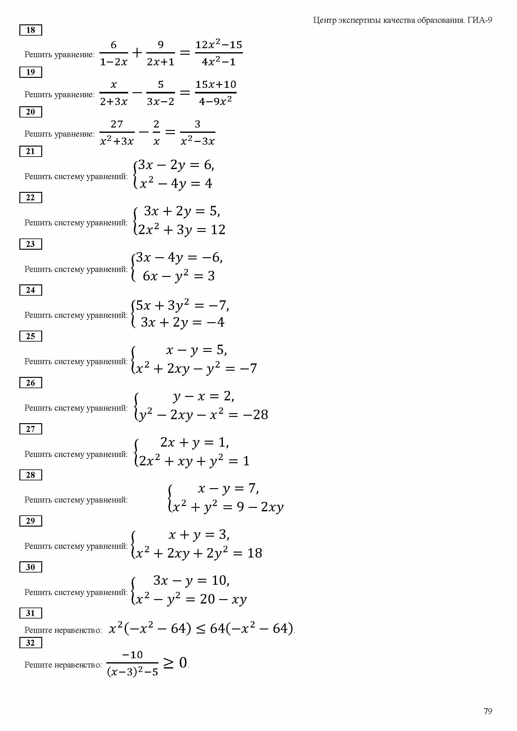
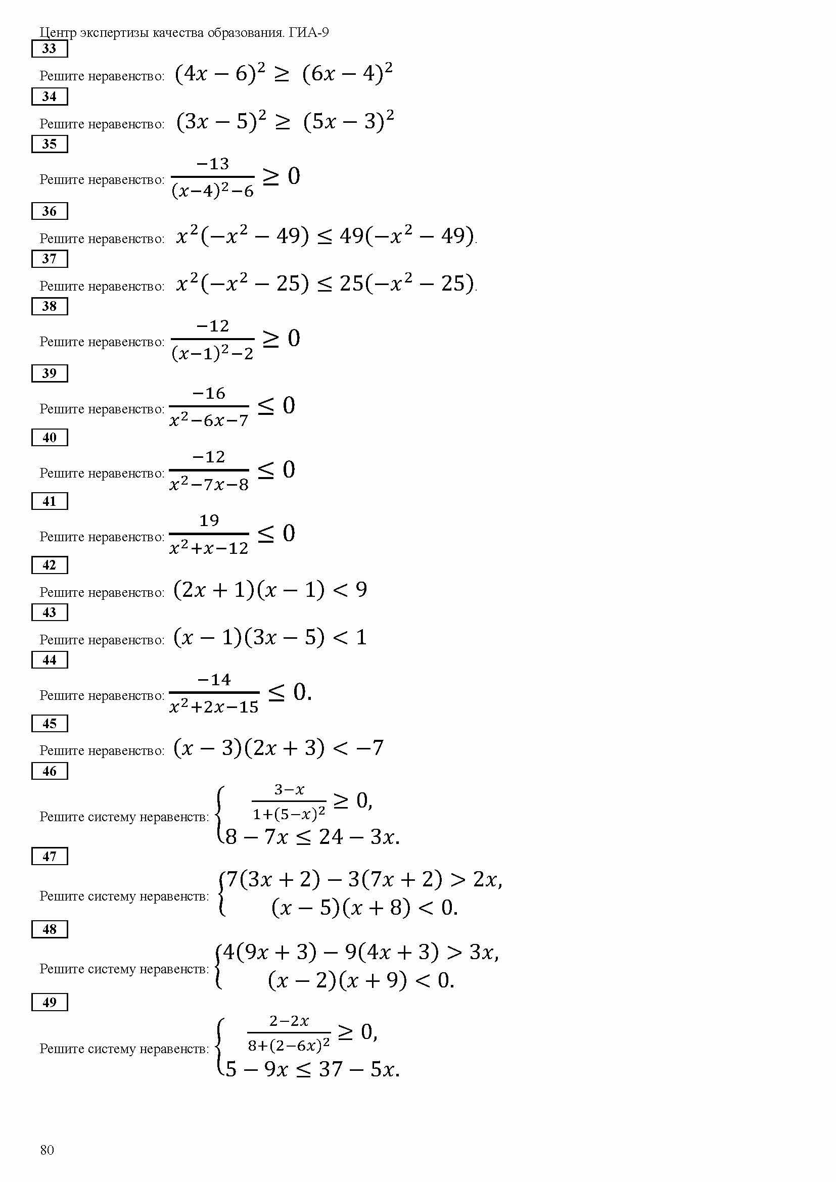
Математика\Банк заданий ГИА-9\ООО с русским языком обучения\Задания 14
Полезные ссылки